L’erreur quadratique moyenne (EQM) est un indicateur de vérification de la fiabilité d’un modèle. Cet outil étudie les écarts entre les valeurs réellement observées et les valeurs prédites par le modèle. L’erreur quadratique est une valeur toujours positive. Plus les valeurs obtenues avec le modèle sont proches des valeurs observées, plus les écarts sont faibles et l’erreur quadratique proche de zéro.
Il existe de nombreux autres indicateurs de validation de modèle comme le coefficient de détermination, le biais, l’erreur absolue moyenne.
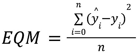
Comment se calcule-t-elle ?
Sa formule est la suivante :

n : nombre de mesure
ŷi : valeurs prédites par le modèle
yi : valeurs observées
Quelles sont ses caractéristiques ?
L’erreur quadratique moyenne a différentes caractéristiques :
- Elle se distingue des autres indicateurs par sa facilité de calcul.
- C’est un indicateur qui est sensible aux valeurs aberrantes. En effet, en élevant au carré la valeur des écarts, chaque anomalie a un poids important dans le calcul de l’erreur quadratique. Pour réduire l’impact des anomalies certains utilisent plutôt la racine carré de l’erreur quadratique (root mean square) comme estimateur de modèle.
- Elle peut être difficile à interpréter. En effet, une erreur quadratique moyenne de 15 peut être gage de fiabilité si la moyenne des valeurs observées est supérieure à 1000. Cependant une erreur quadratique de 15 prouve qu’un modèle est très peu fiable si la moyenne des valeurs observées est inférieure à 100. Ainsi il est toujours important de rapporter l’erreur quadratique moyenne à la moyenne de valeurs observées pour juger de la fiabilité d’un modèle.
Application :
Les points bleus représentent les valeurs observées et la régression orange est le modèle de comportement établi par le Data Scientist. Calculons l’erreur quadratique moyenne du modèle :



Où-l ’utilise-t-on ?
L’erreur quadratique moyenne à l’instar des autres indicateurs de validation sont toujours plus utilisés avec l’explosion de l’intelligence artificielle et l’élaboration croissante de modèles de comportement prédictif. En effet, ils sont indispensables pour vérifier la pertinence d’un modèle.
C’est donc un outil qui est utilisé par les data scientist qui sont responsables de l’analyse de données mais aussi de l’implémentation d’algorithmes prédictifs au sein des entreprises.
Ainsi l’erreur quadratique moyenne a d’ores et déjà des applications dans de multiples domaines ou l’établissement de modèle de prédiction est essentiel. On peut citer l’économie avec les modèles de prévision boursière, la météorologie avec les modèles de comportement atmosphériques ou encore la science des matériaux et ses modèles de résistance mécanique.
Comment maîtriser les indicateurs de validation ?
Vous l’aurez compris, la maîtrise des différents indicateurs de validation est essentielle dans les domaines de la Data Science et du Machine Learning. Pour acquérir ces notions, et toutes les compétences requises pour la science des données, vous pouvez opter pour Liora.
Nos formations professionnalisantes vous permettent d’apprendre les métiers de la Data Science comme Data Scientist, Data Analyst ou Machine Learning Engineer. À l’issue du parcours, vous maîtriserez la programmation, les bases de données, les frameworks Big Data, le Machine Learning ou encore la DataViz.
Les apprenants reçoivent un diplôme certifié par l’Université des Mines de Paris ou l’Université Paris Sorbonne, et sont fin prêts à exercer les métiers de la Data Science.
Toutes nos formations peuvent être effectuées en Bootcamp ou en Formation Continue dans un format 100% distanciel.
Pour le financement, vous pouvez utiliser votre compte personnel de Formation. Ne perdez plus un instant, et découvrez les formations Liora !

