Ein mittlerer quadratischer Fehler (MQF) ist ein Indikator, um die Zuverlässigkeit eines Modells zu überprüfen. Dieses Instrument untersucht die Abweichungen zwischen den tatsächlich beobachteten Werten und den vom Modell vorhergesagten Werten.
Der quadratische Fehler ist ein stets positiver Wert. Je näher die mit dem Modell ermittelten Werte an den beobachteten Werten liegen, desto kleiner sind die Abweichungen und desto näher ist der quadratische Fehler an Null.
Es gibt viele weitere Indikatoren für die Modellvalidierung, wie z. B. den Bestimmtheitsmaßstab, den Bias und den mittleren absoluten Fehler.
Wie wird ein mittlerer quadratischer Fehler berechnet?
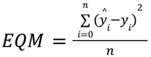
Seine Formel lautet wie folgt:
n: Anzahl der Messungen
yi: vom Modell vorhergesagte Werte
yi: beobachtete Werte
Was sind die Merkmale des mittleren quadratischen Fehlers?
Der mittlere quadratische Fehler hat verschiedene Eigenschaften:
- Er unterscheidet sich von anderen Indikatoren dadurch, dass er leicht zu berechnen ist.
- Er ist ein Indikator, der empfindlich auf Ausreißer reagiert.
- Wenn man den Wert der Abweichungen quadriert, hat jeder Ausreißer ein großes Gewicht bei der Berechnung des quadratischen Fehlers.
- Um den Einfluss von Ausreißern zu verringern, verwenden einige stattdessen die Wurzel des quadratischen Fehlers (root mean square) als Modellschätzer.
- Diese kann jedoch schwer zu interpretieren sein. Ein mittlerer quadratischer Fehler von 15 kann ein Zeichen für Zuverlässigkeit sein, wenn der Mittelwert der beobachteten Werte über 1000 liegt.
- Ein quadratischer Fehler von 15 zeigt jedoch, dass ein Modell sehr unzuverlässig ist, wenn der Mittelwert der beobachteten Werte unter 100 liegt.
- Daher ist es immer wichtig, den mittleren quadratischen Fehler in Bezug zum Mittelwert der beobachteten Werte zu setzen, um die Zuverlässigkeit eines Modells zu beurteilen.
Anwendung :
Die blauen Punkte sind die beobachteten Werte und die orangefarbene Regression ist das vom Data Scientist erstellte Verhaltensmodell. Berechnen wir den mittleren quadratischen Fehler des Modells :


Wo wird es verwendet?
Der mittlere quadratische Fehler und andere Validierungsindikatoren werden mit dem Boom der künstlichen Intelligenz und der zunehmenden Entwicklung von Modellen für vorhersagbares Verhalten immer häufiger verwendet. In der Tat sind sie unerlässlich, um die Relevanz eines Modells zu überprüfen.
Sie werden daher von Data Scientists verwendet, die für die Datenanalyse, aber auch für die Implementierung von Vorhersagealgorithmen in Unternehmen verantwortlich sind.
Der mittlere quadratische Fehler wird bereits in vielen Bereichen angewendet, in denen die Erstellung von Vorhersagemodellen von entscheidender Bedeutung ist. Beispiele hierfür sind die Wirtschaft mit Modellen für Börsenprognosen, die Meteorologie mit Modellen für das Verhalten der Atmosphäre oder auch die Materialwissenschaft mit Modellen für die mechanische Festigkeit.
Wie kann man die Validierungsindikatoren beherrschen?
Wie du vielleicht schon bemerkt hast, ist die Beherrschung der verschiedenen Validierungsindikatoren in den Bereichen Data Science und Machine Learning von entscheidender Bedeutung. Um diese Begriffe und alle für die Datenwissenschaft erforderlichen Fähigkeiten zu erwerben, kannst du dich für Liora entscheiden.
Unsere professionalisierenden Kurse ermöglichen es dir, die Berufe der Data Science wie Data Scientist, Data Analyst oder Machine Learning Engineer zu erlernen. Nach Abschluss des Kurses beherrschst du die Programmierung, Datenbanken, Big Data Frameworks, Machine Learning oder DataViz.
Die Lernenden erhalten ein von der Université des Mines de Paris oder der Université Paris Sorbonne zertifiziertes Diplom und sind bereit, in den Berufen der Data Science zu arbeiten.
Alle unsere Kurse können in einem Bootcamp oder als Weiterbildung in einem 100%igen Fernformat absolviert werden.
Für die Finanzierung kannst du deinen Bildungsgutschein nutzen. Verliere keine Zeit mehr und entdecke die Liora-Trainings!


