Concept incontournable en mathématique, la fonction Sigmoïde s’applique parfaitement aux réseaux neuronaux. Découvrez cette fonction, ses différentes phases et ses cas d’application.
C’est quoi la fonction Sigmoïde ?
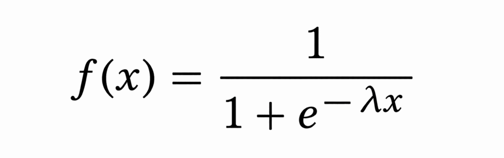
Également appelée courbe en S, la fonction Sigmoïde se traduit de la manière suivante :

La représentation visuelle de la courbe se caractérise par une augmentation exponentielle d’une variable, qui devient ensuite linéaire, puis asymptotique. Le tout forme alors une sorte de S. D’où le nom de la fonction sigmoïde.
Quelles sont les phases de la courbe Sigmoïde ?
La courbe en S se caractérise visuellement par 4 phases très marquées. Les voici.
La phase de décalage
Dans un premier temps, la croissance de la courbe est relativement lente. C’est la période de latence.
Cela peut se vérifier, par exemple, dans le cadre d’une étude de marché pour le lancement d’un nouveau produit. En effet, au début, peu d’acheteurs osent se lancer pour acquérir un produit encore inconnu.
La phase exponentielle
Progressivement, la courbe commence à augmenter jusqu’à atteindre une croissance exponentielle.
Là encore, ce type de courbe se retrouve dans l’étude de marché. Ce n’est que lorsque les premiers acheteurs ont testé le produit ou le service, que la majorité des consommateurs est prête à se lancer. L’effet boule de neige est enclenché. La satisfaction client et le bouche-à-oreille permettent aux organisations d’acquérir toujours plus de nouveaux clients. Ce qui lui permet de bénéficier d’une croissance exponentielle.
La phase transitoire
Après la croissance exponentielle, la fonction Sigmoïde se traduit par une phase transitoire où la courbe ralentit, augmente ou baisse légèrement. De faibles variations sont alors constatées.
Dans le cadre de notre étude de marché, cela concerne la période où la majorité des clients potentiels ont déjà été ciblés. Ici, il ne reste plus beaucoup de nouveaux leads/prospects. Et en parallèle, les premières insatisfactions clients peuvent apparaître. Ce qui peut entraîner un ralentissement, voire une baisse des ventes. Mais ce n’est pas automatique.
Le stade du plateau
Et finalement, la courbe Sigmoïde se stabilise totalement jusqu’à ressembler à un plateau. Toutes les valeurs restent plus ou moins identiques.
Dans l’univers commercial, cela concerne les entreprises déjà bien installées qui ont acquis une base de clients stable.
Bon à savoir : au-delà de l’étude de marché, la fonction Sigmoïde s’observe dans une grande variété de cas, comme les contagions qui se transforment en épidémie (crise du covid), la taille ou le poids d’un individu au cours de sa vie, sans oublier les réseaux neuronaux.
Quel est le lien entre fonction Sigmoïde et apprentissage automatique ?
La fonction Sigmoïde est très souvent utilisée pour les réseaux de neurones. Elle agit alors comme une fonction d’activation. Plus précisément, elle permet au réseau de produire un résultat grâce aux données disponibles.
Ainsi, lorsque les données d’entrée intègrent le réseau neuronal, chaque neurone leur applique une transformation. Ce qui leur permet de produire un nouveau résultat.
Mais avec la fonction Sigmoïde, le résultat est non-linéaire. La représentation spatiale des données est donc modifiée. Autrement dit, le réseau neuronal est capable d’explorer les données sous différents angles. Ces différentes perspectives permettent ainsi de mieux comprendre les données, leur signification et d’aboutir au résultat le plus pertinent.
Rejoignez Liora
Comme de nombreuses formules mathématiques et statistiques, la fonction Sigmoïde est indispensable dans le cadre de la création de modèle d’apprentissage automatique. Mais il ne suffit pas de maîtriser les mathématiques pour concevoir et utiliser les réseaux neuronaux. En plus, il convient de connaître les langages de programmation, la machine learning, le deep learning, le data engineering, etc. Pour apprendre toutes ces disciplines, il existe une formation chez Liora.

